back to House of the Sun

137, The Number that Keeps Our Universe Together 

About the Fine Structure Constant α = 1/137.035999 = 0.0072973525....

This article is also available in PDF format.

If alpha [the fine-structure constant] were bigger than it really is, we should not be able to distinguish matter from ether [the vacuum, nothingness], and our task to disentangle the natural laws would be hopelessly difficult. The fact however that alpha has just its value 1/137 is certainly no chance but itself a law of nature. It is clear that the explanation of this number must be the central problem of natural philosophy.

Max Born (a German physicist and mathematician)

 

Contents:

The Mystery

The Discovery

A Fundamental Physical Constant with No Units

Alpha and Aliens

The Large Radius of the Electron Orbit

Electromagnetic Interaction

Alpha Doesn't Change With Time

Coupling Constants for the Fundamental Forces

Examples Where Alpha Shows Up

Mathematical, Geometrical and Numerological Connections

..........................................................

The Mystery

There is a most profound and beautiful question associated with the observed coupling constant, e, the amplitude for a real electron to emit or absorb a real photon. It is a simple number that has been experimentally determined to be close to 0.08542455. (My physicist friends won’t recognize this number, because they like to remember it as the inverse of its square: about 137.03597 with about an uncertainty of about 2 in the last decimal place. It has been a mystery ever since it was discovered more than fifty years ago, and all good theoretical physicists put this number up on their wall and worry about it.) Immediately you would like to know where this number for a coupling comes from: is it related to π or perhaps to the base of natural logarithms?  Nobody knows. It’s one of the greatest damn mysteries of physics: a magic number that comes to us with no understanding by man. You might say the "hand of God" wrote that number, and “we don’t know how He pushed his pencil.” We know what kind of a dance to do experimentally to measure this number very accurately, but we don’t know what kind of dance to do on the computer to make this number come out, without putting it in secretly!

Richard P. Feynman, QED: The Strange Theory of Light and Matter, 1985

 

When I die my first question to the Devil will be: What is the meaning of the fine structure constant?

Wolfgang Pauli

Wolfgang Pauli (1900-1958) was an Austrian-Swiss theoretical physicist and one of the pioneers of quantum physics. He was preoccupied with the number 137 of the fine structure constant since it figured in the mysterious intersection of relativity and quantum theory. He was also an early supporter of Carl Gustav Jung’s theory on synchronicity, with whom he explored possible meanings of this magic number.

When he was admitted to the Rotkreuz hospital in Zürich, Switzerland with stomach pains, at the age of 58, and was diagnosed with massive pancreatic carcinoma. When he learned that he would be in room 137, he told a friend: "I won’t get out of here alive." He died before he could be released.

 

The mystery of the fine structure constant is that it only shows up in experiments. No scientific theory can predict its value; it must be determined experimentally. That has mystified scientists since its discovery.

 

The Discovery

The fine structure constant was first discovered when studying the spectral lines of elements.

When spectral lines of the hydrogen spectrum were examined under a high-resolution spectrometer it was found that a single spectral line resolves into two pairs of closely spaced single lines such that these split lines will be having slightly different wavelengths. There is a very fine gap between these two wavelengths. They called this a fine structure. The original Bohr model of the atom could not account for this. Bohr considered only the angular momentum of the electron for the energy level of a spectral line. However, when the spin effects and other relativistic effects are taken into account we get what is now known as the fine structure of atoms.

In 1916 Sommerfeld expressed the energy states of those twin lines of the hydrogen atom in terms of the constant alpha α, and it came to be called the fine structure constant, because of the fine structure of the two almost identical lines.

The value of the fine structure constant, or alpha, is 1/137. Originally it was thought that the integer was exactly 137, but later, through more accurate measuring it was shown that it is slightly different, namely 137.035999... Scientists like accuracy. Because there is such a small difference between 137 and 137.035999..., we will often use the abbreviated form of 137.

The precision of the value of the fine structure constant after the 6th position after the period has changed over the last two decades due to different experiments. The last accepted value (in 2020) is 1/137.035999206... or 0.0072973525628...

Don't pay too much attention to the term fine structure constant, as the fine structure of the spectrum lines are just one example where alpha shows up.

Emission spectrum of hydrogen

Emission spectrum of hydrogen

The red spectrum line (red color with a wavelength of 656.3 nm) actually consists of two lines:

The gap between the two lines.

The two lines are very close together. 656.3 nm is the first line in the hydrogen spectrum and corresponds to the red color. The difference between the two lines is only 0.016 nm.

 

Fine structure arises from the interaction of the orbital motion of an electron with the quantum mechanical spin of that electron. This means that the nucleus creates a magnetic field that influences the electron; and the electron itself creates a magnetic field too by spinning around its own action (=the electron spin). Both magnetic fields interact with each other to create the fine structure splitting.

The interaction between the magnetic field generated due to the relative motion of the nucleus and the electron spin angular momentum will result in the splitting of the energy of electrons into two energy levels. Electron spin angular momentum means that an electron can spin around itself in two ways, by way of speaking, clockwise and counterclockwise. This is expressed by the terms spin +1/2 and with spin −1/2. Electrons with spin +1/2 and with spin −1/2 thus rotate in opposite direction, and this results in a slightly different magnetic interaction with the nucleus, and thus the energy of the photon being emitted when the electron falls back to a lower orbit.

electron spin

Opposite rotation of spin +1/2 and spin −1/2, with magnetic fields showing.

The difference in energy between the two spectral lines generated (0.016nm) corresponds with 0.000045 eV (electronvolt). The typical energy of an electron of the red hydrogen alpha (656 nm) line is about 1.8 to 1.9 eV. So the difference is indeed very small.

 

A Fundamental Physical Constant with No Units

α is constant that has no unit attached to it; it is just a number. Other constants, like the constant for the speed of light, c, is expressed in terms of units. Changing the unit will change the value. The speed of light is 299,792,458 meters per second, 186,000 miles per second, or 671 million miles per hour.

α has always the same value, 1/137.035999..., or 0.0072973525....

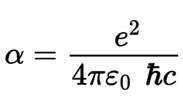
α can be expressed in terms of other constants, by which it it relates three very important domains of physics: electromagnetism in the form of the charge of the electron, relativity in the form of the speed of light, and quantum mechanics in the form of Planck’s constant:

formula

e is the elementary charge constant (1.602176634×10−19 Coulomb) of the electron

ħ is the reduced Planck constant (=the quantum of angular momentum; this is used for convenience of simpler equations); ħ=h/2π (h is the Planck constant = 6.62607015×10−34 Joule seconds); the Plank constant gives the relationship between the energy of a photon and its frequency. [Joule=newton meter]

c is the constant of the speed of light (299792458 m/s)

ε0 is the electric constant, or permittivity of the medium, (8.8541878128×10−12 Coulomb2 / Newton meter2); it is a physical constant that describes the force between two charged bodies in vacuum.

π is the mathematical pi or 3.14159...; pi is a mathematical constant that describes the ratio of a circle's circumference to its diameter or circ./diam.

All the units in the equation cancel each other out, leaving alpha with no unit.

 

Alpha and Aliens

aliens and 137

Laurence Eaves, a British physicist and professor at University of Nottingham, said that the fine structure constant would be a good number to send to aliens in an effort to make contact because it is a universal constant not dependent on arbitrary units. It is also a fundamental property of the universe :

"If you decide to want to get in touch with some aliens on on some distant planet going around orbiting around a star perhaps a bit like our own sun, it would be one of the numbers you would signal to these aliens if you indicate that we have a scientific technologically capable civilization on this planet. So, for example, it wouldn't be much use if you communicated with them and said look I weighed eighty kilograms and my height is one meter eighty. These numbers wouldn't mean anything to them. What would mean something to them is the value of this fine structure constant, alpha, because they would have to know that number as well if they have made telescopes and have gotten electronic equipment and are sending out radio waves and so on. They will know that number for sure. There are a couple of other numbers as well that you could send them. One would be for example the ratio of the mass of the proton to the electron and that's something like 1840. So if you send numbers like 1 over 137 or indeed perhaps more conveniently just 137, or 1840, then the alien civilization would say: Right, these people understand science and technology, they understand quantum mechanics." So it would be a really a nice number to send out to them."

 

The Large Radius of the Electron Orbit

atom

Unlike other constants, the theory of physics does not lead to the value of the fine structure constant. It has to be experimentally measured. It is just there in our reality. Why it has the exact value of 137.035999... is not known. What is clear that our universe has settled this number as such to provide the state of matter and the possibility of life.

Any time scientists were investigating the relationship between charged particles and electromagnetic radiation the fine structure constant would just show up. Particles and electromagnetism are fundamental to our universe.

In the make-up of atoms, it is important that the fine structure constant is a small number. This makes that the electron orbit the nucleus at a large distance from it. We can see that in the formula:

formula

r0 is the radius of the electron orbit

ħ is the reduced Planck constant

me is the electron mass

c is the speed of light

α is the fine structure constant

Because the radius of the atom depends on the inverse of the fine structure constant α, then a small number for the fine structure constant gives us a large radius. There is so much space in an atom that if you make a golf ball the size of the nucleus in an atom, the electrons would be 1.5 miles (2.5 km) away.

The large distance of the electrons from the nucleus allows for an easy exchange of electrons with other atoms so that atoms can bond with each other (chemistry) and form molecules, and thus eventually lead to to life forms.

water molecule

Hydrogen and oxygen atoms sharing electrons in their outer shells to form a water molecule.

If the radius of the electrons is smaller, exchange of electrons with other atoms would be too difficult, as they then become strongly bound to the nucleus. If the radius would be larger, atoms would not be able to form, as electrons would just leave their orbits and wander off. The fine structure constant is relatively balanced, not to high and not to low, so our universe could form.

So, we have seen that the radius of the electrons depends on the constant alpha, or the number of 1/137. It is just a number, but does it represent? It represents the force of the electromagnetic field, that has to be just right for the reasons mentioned above.

There is also an interplay between the strong force and the electromagnetic force inside the nucleus. The electromagnetic force repels like electric charges; and protons are all positive. In order to keep the protons together into stable nuclei, the strong nuclear force must overcome the electromagnetic force. This strength of the two forces, acting against each other, creates a stable nucleus.

Theoretically, the fine structure constant can vary a little bit and still form stable atoms, matter and a life supporting universe. Nuclear physicist Ulf Meißner of the University of Bonn in Germany and colleagues ran complex computer simulations at the Juelich Supercomputing Center, home of the largest supercomputer in Europe. They changed the average masses for the up and down quarks (the elementary particles that form protons, neutrons and other hadrons), and the fine structure constant. Outside of a narrow window of 0.5% around the observed strong force and 4% around the observed electromagnetic force, the stellar production of carbon and/or oxygen was found to be reduced by several orders of magnitude, not enough to produce life as we see on Earth.

Professor Ulf Meißner explains: "The Universe we live in is characterized by certain parameters that take specific values that appear to be remarkably fine-tuned to make life, including on Earth, possible."

But why the universe has settled itself in the exact value of 137.035999... we don't know. It is still a mystery that scientists would like to solve.

Alpha can change if the energy environment changes. We call α a constant, because it remains the same when measured in our world/universe. However its value depends on the energy at which it is measured. It is 1/137 in our universe because our universe is at a low energy level.

The temperature of the universe, out in space, is 2.73 Kelvin. When we take our living temperature at 300 Kelvin (27°C or 80°F) as a reference of the energy state we are living in, then this is still a low energy environment.

At very high temperature like 1015 Kelvin, such as what was present at the very beginning of the universe, it would not have been be the same as it is today.

 

Electromagnetic Interaction

Basically, the value of the fine structure constant is related to the electromagnetic force between subatomic charged particles. α is the electromagnetic coupling constant, meaning that it characterizes the strength of all interactions between charged elementary particles and the electromagnetic field. It is the measure of the strength of the electromagnetic force that governs how electrically charged elementary particles interact. It is responsible for the strength of attraction between positive and negative particles; and the repulsion between two like charged particles.

attraction and repulsion

 

Alpha Doesn't Change With Time

In 2021, the Espresso high-resolution spectrograph, mounted on the Very Large Telescope (in Chili) from the European Southern Observatory, was used to measure the fine structure constant. They measured the value of the alpha by measuring spectral transitions in a cosmic cloud (ULAS J1120+0641) which is so far away that the photons involved in the transitions have taken around 8.4 billion years to reach us. This cosmic cloud was formed at the very beginning of our universe. It was found that the electromagnetic force, and thus the fine structure constant, in that nebula was the same as that measured on Earth today.

quasar

This artist’s impression shows how ULAS J1120+0641, the most distant known quasar, powered by a black hole with a mass two billion times that of the Sun, may have looked. Image credit: M. Kornmesser / ESO.

 

Coupling Constants for the Fundamental Forces

As we have seen α is a coupling constant for the electromagnetic force, also written as αem. There are three other coupling constants, corresponding to the three other fundamental forces. The coupling constant for the weak force is αw ≈ 10-6 to 10-7 ; for the strong force αs ≈ 1, and for the gravitational force αg = 5.9x10-39. All four are dimensional constants, with no units.

In physics, a coupling constant is a number that determines the strength of the force exerted in an interaction. All four coupling constants are necessary to form our universe. This takes the mystery of αem a little bit away, but scientists still wonder why it has the value of 1/137.

 

Examples Where Alpha Shows Up

The following are some examples where the fine structure constant determines the relationship between electromagnetic forces, or between charged particles, and even between different atomic lengths. They serve to show that alpha keeps the elementary particles in certain relationships that holds our universe together.

1. The energy needed to overcome the electrostatic repulsion of two electrons at a certain distance from each other divided by the energy of a photon with the wavelength of 2π x that same distance:

electrostatic repulsion between two electrons

formula 

e2/ 4πε0d, represents the ratio of the energy needed to overcome the electrostatic repulsion of two electrons that are a distance d apart; the second part, hc/λ is the energy of a photon with the wavelength lambda λ.

d is the distance of the two electrons

λ is the wavelength of the photon = 2πd

Why is π, pi, involved in the equation? When two systems couple, and when taking one of the objects as fixed in space, then, if the second object moves in circles about the first, the two objects are coupled in some way. Circular or cyclical motion in two dimensions is the generic form taken by most simple coupled systems when two objects are involved and implies that π is involved.

2. The above formula can be rewritten by which α then represents the ratio of the speed of an electron in the first orbit (Bohr model) over the speed of light. In other words, the speed of an electron in the first Bohr orbit around the nucleus is 1/137 the speed of light.

electron speed around nucleus

Knowing that the wavelength λ = 2πd/c, and h = 2πħ, we can rewrite the formula as

formula 

or

formula

e2/ε0ħ is the speed of an electron in a classical orbit (Bohr model), and c is the speed of light.

3. α2 is the electric potential energy of the hydrogen atom in its ground state over the electron rest energy.

α2 = U/ Ee = 0.0272 keV / 511 keV = 0.00005325

Thus α = √0.00005325 = 0.00729 or 1/137

The electric potential energy depends on the position of the electron relative to the nucleus; it arises from the force of attraction between the nucleus and the electron.

A ground-state atom is an atom in which the total energy of the electrons can not be lowered by transferring one or more electrons to different orbitals. That is, in a ground-state atom, all electrons are in the lowest possible energy levels.

The rest energy of a particle is the amount of energy it has left over when all kinetic energy has been removed.

 

4. α relates to three lengths:

the ratio of re, the classical electron radius over λe, the Compton wavelength of the electron:

formula

2 x 3.14 x 2.817×10-15 m / 2.426×10−12 m = 0.00729 = 1/137

The Compton wavelength of a particle is equal to the wavelength of a photon whose energy is the same as the rest energy of that particle.

and

the square root 0, the Bohr radius of the atom over re, the classical electron radius:

formula

 √2.817 ×10-15 m /5.291 x 10-11m = √0.0000532= 0.00729 = 1/137

The Bohr radius (a0) is a physical constant, approximately equal to the most probable distance between the nucleus and the electron in a hydrogen atom in its ground state.

 

5. α is also found in relation to the impedance of free space and the conductance quantum.

formula

Z0, or the impedance of free space, is a physical constant relating the magnitudes of the electric and magnetic fields of electromagnetic radiation traveling through free space.

G0, or the conductance quantum, is the quantized unit of electrical conductance.

Z0 = 376.730 Ω

G0 = 7.748 ×10−5 Siemens (or 1/Ω).

Thus α = 1/4 x (376.730 Ω X 7.748 ×10−5 1/Ω) = 0.00729 = 1/137

 

Mathematical, Geometrical and Numerological Connections

When you talk about a mysterious number in science, then you will attract people who will try to find explanations and connections with other disciplines. Many people have tried to find 'solutions' to the fine structure constant mystery. When you play with numbers it is easy to come up with combinations that will lead to the result that one desires. If one ends up with a number that is very close to alpha, does that mean that the found solution is correct? After all, alpha has been measured to be correctly to the 6th decimal place after the period. So, whatever other solutions one comes up with, it should have the same accuracy.

The fine structure constant could also have been, for example, 1/138 (with some decimals after the period), and our universe would only have been slightly different. Then all the mathematical, geometrical and numerological connections that people have come up with for 1/137 would be invalid. Something to think about.

I think that the origin of alpha lies in a three-dimensional structure that underlies the formation of matter and its particles, or energy-wave packages.

I don't place much attention to the alternate solutions or connections because they are all approximations, but maybe nature prefers to fit alpha into other situations as close as it can. Who knows? Here are some examples, that might interest you.

There is plenty of evidence in megalithic structures and ruins that the ancients had a lot more scientific knowledge that has been lost over the ages. Some of they key numbers that appear in space and time were incorporated in legend, myths and religious texts, probably in an effort to preserve the old wisdom. An example of this is the number 144000. In the Mayan time keeping, a Baktun has a span of 144000 days. It can't be a coincidence that the number 144000 also appears in Christianity and Islam. In Hinduism a Kalpa is 144000000 years.

 

In the Jewish Kabbalah (a set of esoteric teachings), gematria is the practice of assigning a numerical value to a name, word or phrase according to an alphanumerical cipher. To a lesser degree gematria was also used in the Greek, Arabic and English language. Is it a coincidence that the Kabbalah, קַבָּלָה, has the numerical value of 137? Kabbalah means to receive wisdom.

100+2+30+5=137 (kuf + bet + lamed + hay).

The archangel Yofiel is considered to be the angel who banished Adam and Eve from the Garden of Eden. Yofiel is written יוֹפִיאֵל‎ in Hebrew.

 30+1+10+80+6+10 =137 (lamed + aleph + yod + pay + vav + yod)

In the Christian tradition, Yofiel is mentioned among the seven archangels in the earliest sources, and in the 5th century Pseudo-Dionysius the Areopagite mentions him in the list of planetary or weekly archangels, alongside Michael, Gabriel, Raphael, Uriel, Chamuel and Zadkiel. In the Jewish tradition, Yophiel appears rather rare, and many things cannot be said about him, but when he appears, he holds a leading place among the archangels, and his role is extremely important. He is one of the heads of the armies of the cherubim, and it is said to be directly subordinated to Metatron, the Prince of Divine Presence. He directs and oversees the activity of the seven planetary heavens and seven angelic orders that inhabit them. He shared the Torah (or the Pentateuch) to Moses, also initiating him into the Kabbalistic mysteries. So, here again the number 137 is associated with teachings knowledge.

In the Bible we find several people who had very long life spans. Among them are three who lived 137 years: Ishmael, Levi, Amram. The three appearances make it the most common lifespan of individuals in the Bible.

 

137 is the 33th prime number. 33 is the highest degree in Scottish Rite Freemasonry. Jesus died when he was 33 years old.

 

Some mathematics:

Take into account the exact value of alpha: 0.0072973525..., or 1/137.035999...

1/(cos(π/137)/137) = 0.007299269488 or 1/137.00001097

1 / 4π³ + π² + π = 0.00729733634 or 1/137.036303775

the squares of the first 7 digits of π (3.141592...): 3² + 1² + 4² + 1² + 5² + 9² + 2² = 137


A Pythagorean triangle is a triangle with one right angle (45°) which has has side lengths satisfying the formula a2+b2=c2. When a=137 and b=π (pi), then c= 137.03601.

 

triangle

Sides with 4 and 11 gives the hypotenuse of √137

triangle 

 

In mathematics, two quantities are in the golden ratio if their ratio is the same as the ratio of their sum to the larger of the two quantities. (a+b)/a = a/b. The golden ratio has the Greek symbol phi Φ, and Φ=1.618033...

the golden ratio

Algebraic the golden ratio is expressed as (1+√5)/2.

The golden ration appears in geometric structures and also in patterns in nature.

When you apply this ratio to the angles of a circle you obtain the Golden Angle.

When two angles that make a full circle have measures in the golden ratio, the smaller is called the golden angle, with measure g = 137.508°

a = 222.492°

b = 137.508°

a/b = 222.492/137.508 = 1.618

the golden angle